4 Predictive Analytics
4.1 Subject of Predictive Analytics
4.2 The Analytics Process
4.3 Data Preparation
4.4 Methods, Algorithms and Applications
4.4.1 Classification
4.4.2 Regression

Source: http://www.udel.edu/johnmack/frec480/cholera



Source : http://www.datasciencecentral.com/profiles/blogs/data-science-simplified-principles-and-process
The distance between using Excel and VBA for modeling in credit scoring, for example, and using machine learning algorithms and R or Python to enhance the results, is not that great, compared to the distance between someone running a packaged algorithm they don’t really understand and someone who understands the mathematical and statistical operations within an algorithm and can optimize or adapt it as needed – and do so in the context of their deep industry experience.
Source: Dataiku - Data Science for Banking and Insurance
Statistics about finding valid conclusions about the underlying applied theory, and on the interpretation of parameters in their models. It insists on proper and rigorous methodology, and is comfortable with making and noting assumptions. It cares about how the data was collected and the resulting properties of the estimator or experiment (e.g. p-value). The focus is on hypothesis testing.
Machine Learning (ML) aims to derive practice-relevant findings from existing data and to apply the trained models to data not previously seen (prediction). It tries to predict or classify with the most accuracy. It cares deeply about scalability and uses the predictions to make decisions. Much of ML is motivated by problems that need to have answers. ML is happy to treat the algorithm as a black box as long as it works.

Question 1: I have a headache. If I take an aspirin now, will it go away?
Question 2: I had a headache, but it passed. Was it because I took an aspirin two hours ago? Had I not taken such an aspirin, would I still have a headache?

Source: Organic Trade Association, 2011 Organic lndustry Survey, U.p. Department of Education, Office of Special Education Programs, Data Analysis System (DANS)
Organic food sales and the rate of autism seem to have a very strong correlation‚ but no one is suggesting that one causes the other!

Correlation: Two data series behave “similar”
Causality: Principle of Cause and Effect

But:
Sometimes it is better to know/predict something even if we can not explain it instead of doing nothing!

Source: http://www.dxbydt.com/the-size-of-your-sample
4 Predictive Analytics
4.1 Subject of Predictive Analytics
4.2 The Analytics Process
4.3 Data Preparation
4.4 Methods, Algorithms and Applications
4.4.1 Classification
4.4.2 Regression
A method is a composition of formalized principles that form the basis for a stringent calculation process.
An algorithm is a procedure or set of steps or rules to accomplish a task. It is usually the implementation of a method. Algorithms are used to build models.
In the given context, a model is the description of the relationship between variables. It is used to create output data from given input data, for example to make predictions.
Fitting a model means that you estimate the model using the observed data. You are using your data as evidence to help approximate the real-world mathematical process that generated the data. Fitting the model often involves optimization methods and algorithms, such as maximum likelihood estimation, to help get the parameters.
Overfitting is the term used to mean that you used a dataset to estimate the parameters of your model, but your model isn’t that good at capturing reality beyond your sampled data.
Source: Schutt /O’Neil (2013): Doing Data Science.







Due to the problem of overfitting, the main goal is to maximize the prediction quality and not to fit the data that is used for the model estimation as well as possible. This is equivalent to minimizing the risk that the model will have weak predictive ability.
The prediction error is influenced by three components:
Error = Bias + Variance + Noise
Bias is the inability of the used method to learn the relevant relations between the inputs and the outputs. It reflects the method quality, e.g. if a method only produces linear models.
Variance is represents the deviation resulting from the sensitivity of the created model to small fluctuations in the data.
Typically, there is a tradeoff between bias and variance.
Noise is everything that arises from random variations in the data. It cannot be controlled.


The choice of the method of data analysis depends on the one hand on the scope of application, but on the other hand on the interrelationships of the data to be analyzed.
In the Big Data area, data spaces are often highly-dimensional, making it difficult to visualize the interrelationships.
For this reason, the choice of the method can often not be made ex ante. In these cases, different methods are competitively tried to select the most suitable one.







Source: http://blogs.msdn.microsoft.com/martinkearn/2016/03/01/machine-learning-is-for-muggles-too/
4 Predictive Analytics
4.1 Subject of Predictive Analytics
4.2 The Analytics Process
4.3 Data Preparation
4.4 Methods, Algorithms and Applications
4.4.1 Classification
4.4.2 Regression
The data collection and preparation phase is the most labor-intensive one, consuming on average between 60-80% of a data scientist’s time. It’s critical therefore to select a tool that can automate or at least speed the workflows associated with data preparation.

2016 Dataiku, Inc.


A population can be defined as including all people or items with the characteristic one wishes to understand.
Sampling is about to find a representative subset of that population.
Data represents the traces of the real-world processes, and exactly which traces we gather are decided by our sampling method.
There are two sources of randomness and uncertainty:
Question:
Is there any need for sampling in times of Big Data? Why not “N=ALL”?
Answer:
Data is not objective! Data does not speak for itself. Data is just a quantitative echo of the events of our society.
Examples:






SMOTE (Synthetic Minority Oversampling Technique) is an oversampling technique where the synthetic samples are generated for the minority class.
At first the total number of oversampling observations N is set up. Usually, it is selected such that the resulting class distribution is 1:1. Now, the iteration starts by first selecting a minority class instance at random. Next, the k nearest neighbors for that instance are obtained. For every neighbor calculate the difference as distance and multiply this difference by a random value between 0 and 1.Adding the result to the chosen instance creates a new synthetic instance. This is done until the number of needed instances is reached.

Source: https://github.com/minoue-xx/Oversampling-Imbalanced-Data
Feature engineering is the process of using domain knowledge of the data to create features that make machine learning algorithms work. If feature engineering is done correctly, it increases the predictive power of machine learning algorithms by creating features from raw data that help facilitate the machine learning process.
A feature (variable, attribute) is depicted by a column in a dataset. Considering a generic two-dimensional dataset, each observation is depicted by a row and each feature by a column, which will have a specific value for an observation:
Features can be of two major types. Raw features are obtained directly from the dataset with no extra data manipulation or engineering. Derived features are usually obtained from feature engineering, where we extract features from existing data attributes. A simple example would be creating a new feature “Age” from an employee dataset containing “Birthdate”.
Sources: Sarkar, D.: Understanding Feature Engineering, towardsdatascience.com and Shekhar, A.: What Is Feature Engineering for Machine Learning?, medium.com.
Most datasets contain features highly varying in magnitudes, units and range.
Most machine learning algorithms have problems with this because they use distance measures or calculate gradients. The features with high magnitudes will weigh in a lot more in the distance calculations than features with low magnitudes and gradients may end up taking a long time or are not accurately calculable.
To overcome this effect, we scale the features to bring them to the same level of magnitudes. The two most discussed scaling methods are Normalization and Standardization.

Many machine learning algorithms cannot work with categorical data directly. To convert categorical data to numbers, there exist two variants:
Label encoding refers to transforming the word labels into numerical form so that the algorithms can understand how to operate on them. Every categorical value is assigned to one numerical value, e.g. young -> 1, middle_age -> 2, old -> 3. This only works in specific situations where you have somewhat continuous-like data, e.g. if the categorical feature is ordinal.
One hot encoding is a representation of a categorical variable as binary vectors. Every categorical value is assigned to an artificial binary variable. If the corresponding categorical value occurs in a data row the value of its binary replacement is equal to 1 else 0, e.g.
It is usual when creating dummy variables to have one less variable than the number of categories present to avoid perfect collinearity (dummy variable trap).
Data sets often contain date/time features. These features are rarely useful in their original form because they only contain ongoing values. However, they can be useful for extracting cyclical factors, such as weekly or seasonal effects. Suppose, we are given a data “flight date time vs status”. Then, given the date-time data, we have to predict the status of the flight.

But the status of the flight may depend on the hour of the day, not on the date-time. To analyze this, we will create the new feature ” Hour_Of_Day”. Using the “Hour_Of_Day” feature, the machine will learn better as this feature is directly related to the status of the flight.
Source: Shekhar, A.: What Is Feature Engineering for Machine Learning?, medium.com.
Suppose we are given the latitude, longitude and other data with the objective to predict the target feature “ Price_Of_House “. Latitude and longitude are not of use in this context if they are alone. So, we will combine the latitude and the longitude to make one feature.
In other cases, it might be appropriate to transform latitude and longitude into categories which reflect regions, for example
Suppose we are given a feature “ Marital_Status ” and other data with the objective to classify customers into “Creditworthy” and “ Not_Creditworthy “. In the data set the martial status has many different values, for example
● single living alone
● single living with his parents
● married living together
● married living separately
● divorced
● divorced but living together
● registered partnerships
● living in marriage-like community
● widowed
● ...
To avoid a transformation into too many and maybe dominating dummy features, we can group the similar classes, e.g. in single, married, widowed.
If there exist some remaining sparse classes which cannot be assigned in a meaningful way they can be joined into a single “other” class.
The partitioning of the data in Training and Test Data has the aim to proof if the analytical results can be generalized. The analysis (e.g. the development of a classifier) is carried out on the basis of training data. Subsequently, the results are applied to the test data. If the results are significantly worse than the training data, the model is not generalizable, which is called overfitting.

The partitioning of the data in training and test data can be carried out in the following ways:

Source: http://www.cs.kent.edu/~jin/BigData/Lecture10-ML-Classification.pptx

In Exploratory Data Analysis (EDA), there is no hypothesis and there is no model.
People are not very good at looking at a column of numbers or a whole data table and then determining important characteristics of the data. EDA techniques have been devised as an aid in this situation.
Reasons for EDA:
● gain intuition about the data
● make comparisons between distributions
● sanity checking (making sure the data is on the scale you expect, in the format you thought it should be)
● find out where data is missing or if there are outliers
● summarize the data
Exploratory data analysis is generally cross-classed in two ways. First, each method is either non-graphical or graphical. And second, each method is either univariate or multivariate.
Non-graphical exploratory data analysis is the first step when beginning to analyze the data. This preliminary data analysis step focuses on four points:
● measures of central tendency, i.e. mean and median. The median, known as 50th percentile, is more resistant to outliers.
● measures of spread, i.e. variance, standard deviation, and interquartile range
● the shape of the distribution
● the existence of outliers
The characteristics of interest for a categorical variable are simply the range of values and the frequency of occurrence for each value.

Outlier are data objects, which are clearly different from the others.
Usually, the detection of outliers is an unsupervised process, because they are not known before analyses.
In the case of numerical attributes the Interquartil Range can be used. Here, an outlier is defined if the attribute lies outside the interval
Usually, k has a value between 1.5 and 3. The bigger k, the more different the values must be to be classified as outliers.
Can be visualized by a Box-and-Whisker Plot:

Non-graphical and graphical EDA methods complement each other, they have the same focus. While the non-graphical methods are quantitative and objective, they do not give a full picture of the data. The distribution of a variable tells us what values the variable takes and how often each value occurs.
Types of displays:
for numerical variables: Histograms, Boxplots, Quantile-normal plots, …
for categorical variables: Pie charts, Bar graphs, …



Multivariate non-graphical EDA techniques generally show the relationship between two or more variables in the form of either cross-tabulation for categorical variables or correlation statistics for numerical variables.


Multivariate graphical EDA techniques are scatterplots for numerical variables, Barcharts for categorical variables, or Boxplots for mixed types.


4 Predictive Analytics
4.1 Subject of Predictive Analytics
4.2 The Analytics Process
4.3 Data Preparation
4.4 Methods, Algorithms and Applications
4.4.1 Classification
4.4.2 Regression





The solution to many of the problems in our lives cannot be automated. This is not because current computers are too slow, but simply because it is too difficult for humans to determine what the program should do.
Supervised learning is a general method for training an approximator. However, supervised learning requires sample input-output pairs from the domain to be learned.
For example, we might not know the best way to program a computer to recognize an infrared picture of a tank, but we do have a large collection of infrared pictures, and we do know whether each picture contains a tank or not. Supervised learning could look at all the examples with answers, and learn how to recognize tanks in general.
Unfortunately, there are many situations where we don’t know the correct answers that supervised learning requires. For example, in a self-driving car, the question would be the set of all sensor readings at a given time, and the answer would be how the controls should react during the next millisecond.
For these cases there exist a different approach known as reinforcement learning.

The agent learns how to achieve a given goal by trial-and-error interactions with its environment by maximizing a reward.
Go is one of the hardest games in the world for AI because of the huge number of different game scenarios and moves. The number of potential legal board positions is greater than the number of atoms in the universe.
The core of AlphaGo is a deep neural network. It was initially trained to learn playing by using a database of around 30 million recorded historical moves. After the training, the system was cloned and it was trained further playing large numbers of games against other instances of itself, using reinforcement learning to improve its play. During this training AlphaGo learned new strategies which were never played by humans.
A newer version named AlphaGo Zero skips the step of being trained and learns to play simply by playing games against itself, starting from completely random play.

An artificial intelligence called Libratus has beaten four of the world’s best poker players in a grueling 20-day tournament in January 2017.
Poker is more difficult because it’s a game with imperfect information. With chess and Go, each player can see the entire board, but with poker, players don’t get to see each other’s hands. Furthermore, the AI is required to bluff and correctly interpret misleading information in order to win.
“We didn’t tell Libratus how to play poker. We gave it the rules of poker and said ‘learn on your own’.” The AI started playing randomly but over the course of playing trillions of hands was able to refine its approach and arrive at a winning strategy.
Discriminative AI is designed to differentiate and classify input, but not to create new content. Examples include image or speech recognition, credit scoring or stock price prediction.
Generative AI is able to generate new content based on existing information and user specifications. This includes texts, images, videos, program code, etc. The generated content can often hardly be distinguished from human-generated content. As things stand at present, however, they are pure recombinations of learned knowledge.
Well-known examples of generative AI are language models for generating text, such as GPT-3 or GPT-4, and the chatbot ChatGPT based on them, or image generators such as Stable Diffusion and DALL-E.
ChatGPT is a generative AI that produces human-like text and communicates with humans.
The “GPT” in ChatGPT comes from the language model of the same name, which was extended for ChatGPT with various components for communication and quality assurance.
GPT is based on a huge neural network that essentially represents the language model. While the first GPT-3 has 175 billion parameters, the newer GPT-4 already has 1 trillion parameters. Compared to GPT-3, GPT-4 is therefore more intelligent, can deal with more extensive questions and conversations and makes fewer factual errors.
ChatGPT generates its response word by word via a sequence of probabilities, with each new word depending on the previous ones.





4 Predictive Analytics
4.1 Subject of Predictive Analytics
4.2 The Analytics Process
4.3 Data Preparation
4.4 Methods, Algorithms and Applications
4.4.1 Classification
4.4.1.1 K-Nearest Neighbors
4.4.1.2 Evaluating the Quality of Classification
4.4.1.3 Decision Tree Approaches
4.4.1.4 Logistic Regression
4.4.1.5 Neural Networks
4.4.1.6 Resampling
4.4.1.7 Ensemble Learning
4.4.2 Regression
Credit-Scoring is a typical example for a classification problem. A bank wants to determine the creditworthiness of a customer.
Assume you have the age, income, and a creditworthiness category of “yes” or “no” for a bunch of people and you want to use the age and income to predict the creditworthiness for a new person.
You can plot people as points on the plane and label people with an empty circle if they have low credit ratings.
What if a new guy comes in who is 49years old and who makes 53,000 Euro? What is his likely credit rating label?

4 Predictive Analytics
4.1 Subject of Predictive Analytics
4.2 The Analytics Process
4.3 Data Preparation
4.4 Methods, Algorithms and Applications
4.4.1 Classification
4.4.1.1 K-Nearest Neighbors
4.4.1.2 Evaluating the Quality of Classification
4.4.1.3 Decision Tree Approaches
4.4.1.4 Logistic Regression
4.4.1.5 Neural Networks
4.4.1.6 Resampling
4.4.1.7 Ensemble Learning
4.4.2 Regression




| Customer | Age | Monthly Income | Monthly Costs | Creditworthy | Distance |
|---|---|---|---|---|---|
| A | 0.0000 | 0.0303 | 0.0400 | yes | 0.4347 |
| C | 0.1714 | 0.3333 | 0.3600 | yes | 0.1726 |
| E | 0.3143 | 0.1818 | 0.2000 | no | 0.2010 |
| F | 0.4286 | 0.3939 | 0.6000 | no | 0.4482 |
| G | 0.4857 | 0.2121 | 0.1200 | yes | 0.3090 |
| X | 0.2286 | 0.3636 | 0.2000 | ? |
4. Count the numbers of class members
3 x yes ; 2 x no
5. Assign object to most frequent class
Customer is creditworthy!


1. Split the original labeled dataset into training and test data.
2. Pick an evaluation metric. Misclassification rate or accuracy are good ones.
3. Run k-NN a few times, changing k and checking the evaluation measure.
4. Optimize k by picking the one with the best evaluation measure.
| k | Accuracy |
|---|---|
| 1 | 0.720 |
| 2 | 0.685 |
| 3 | 0.740 |
| 4 | 0.745 |
| 5 | 0.770 |
| 6 | 0.740 |
| 7 | 0.750 |
| 8 | 0.750 |
| 9 | 0.765 |
| 10 | 0.760 |
4 Predictive Analytics
4.1 Subject of Predictive Analytics
4.2 The Analytics Process
4.3 Data Preparation
4.4 Methods, Algorithms and Applications
4.4.1 Classification
4.4.1.1 K-Nearest Neighbors
4.4.1.2 Evaluating the Quality of Classification
4.4.1.3 Decision Tree Approaches
4.4.1.4 Logistic Regression
4.4.1.5 Neural Networks
4.4.1.6 Resampling
4.4.1.7 Ensemble Learning
4.4.2 Regression
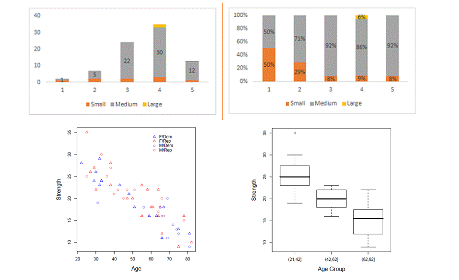
True positives (TP), true negatives (TN), false positives (FP), and false negatives (FN), are the four different possible outcomes of a single prediction for a two-class case. A false positive is when the outcome is incorrectly classified as “yes”, when it is in fact “no”. A false negative is when the outcome is incorrectly classified as negative, when it is in fact positive. True positives and true negatives are obviously correct classifications.



Misclassification rate and accuracy can be misleading, for example in the case of imbalanced samples. Extreme case:

For problems like, this additional measures are required to evaluate a classifier.
Sensitivity (true positive rate, recall) measures the proportion of positives that are correctly identified as such. Specificity (true negative rate) measures the proportion of negatives that are correctly identified as such.

Assume the following case: A credit card company wants to create a fraud detection system to include it into their transactional systems. The outcomes should be “Accept” (Y) and “Reject” (N). Because fraud rarely occurs, the data set consists of 320 observations for Y and 139 for N. They are partitioned into training and test set. Finally, the model is trained and tested.
Because of the majority of the Y class, the training process concentrates on these cases because their correct classification promises the highest accuracy.
The results of the test of the model is consequently:

Thus, the model is blind for the N cases. But these are the ones of primary interest for the company.

Recall measures the percentage of positives the model is able to catch. It is defined as the number of true positives divided by the total number of positives in the dataset. A recall of 50% would mean that 50% of the positives had been predicted as such by the model while the other 50% of positives have been missed by the model.

Source: Wikipedia

A F1 score reaches its best value at 1 (perfect precision and recall) and worst at 0.
It is commonly used in cases of high class imbalance.

4 Predictive Analytics
4.1 Subject of Predictive Analytics
4.2 The Analytics Process
4.3 Data Preparation
4.4 Methods, Algorithms and Applications
4.4.1 Classification
4.4.1.1 K-Nearest Neighbors
4.4.1.2 Evaluating the Quality of Classification
4.4.1.3 Decision Tree Approaches
4.4.1.4 Logistic Regression
4.4.1.5 Neural Networks
4.4.1.6 Resampling
4.4.1.7 Ensemble Learning
4.4.2 Regression


Decision trees belong to the hierarchical methods of classification. They analyze step-by-step (recursive partitioning).
A decision tree consists of nodes and borders. The topmost node (without any parent node) is called “root”. A node without a child node is called “leaf”. Nodes that have parent and child nodes are called “interior nodes”. The interior nodes represent the splitting of the included object sets. An interior node has at least two child nodes (sons). If every interior node has exactly two child nodes, the tree is called a “binary tree”.
A decision tree method starts at the root, which includes all objects. The different features are compared (with an adequate measure) regarding their suitability of classification. The most appropriate feature determines the branching of the current set of objects: regarding this feature, the current set of objects is divided into disjoint subsets (partitioning). This method is now used recursively to the created child nodes (subsets).
Graphically, decision tree models divide the dataspace in a large number of subspaces and search for the variables which are able to split the dataspace with the greatest homogeneity. We can think of the decision tree as a map of different path. For a distinct combination of predictor variables and their observed values, we would enter a specific path, which gives the classification in the leaf of the decision tree.
The decision tree approach does not require any assumption about the functional form of variables or distributions. Furthermore in contrast to parametric models like linear regressions, the decision tree algorithm can model multiple structures as well as complex relationships within the data, which would be difficult to replicate in a linear model.


Source: http://iopscience.iop.org/article/10.1088/1749-4699/5/1/015004
| Name | CART | ID3 | C5.0 | CHAID | Random Forests |
|---|---|---|---|---|---|
| Idea | Choose the attribute with the highest information content | One of the first methods from Quinlan; uses the concept of information gain | Like ID3 based on the concept of information gain | Choose the attribute that is most dependent on the target variable | Construct many trees with different sets of features and samples (randomly). Result by voting. |
| Measure used | Gini-Index | Information gain (entropy) | Ratio of information gain | Chi-square split | Optional, mostly Gini-Index |
| Type of Splitting | Binary | Complete, pruning | Complete, pruning | Complete, pruning | Complete |




Information gain (outlook) = 0.246
Information gain (humidity) = 0.151
Information gain (wind) = 0.048
Information gain (temperature) = 0.029
We choose the attribute with the largest information gain (here: outlook) for the first splitting.
As solution we obtain the following tree:

ID3 tends to favor attributes that have a large number of values, resulting in larger trees. For example, if we have an attribute that has a distinct value for each record, then the entropy is 0, thus the information gain is maximal.
To compensate for this, C5.0 is a further development that uses the information gain ratio as a splitting criterion:

In the case of our example the GainRatio of Windy is

and the GainRatio of Outlook is

Numerical attributes are usually splitted binary. In contrast to categorical attributes many possible splitting points exist .
The splitting point with the highest information gain is looked for. For this, the potential attribute is sorted according to its values first and then all possible splitting point and the corresponding information gains are calculated. In extreme cases there exists n-1 possibilities.

The CART algorithm (Classification And Regression Trees) constructs trees that have only binary splits. Like C5.0, it is able to handle categorical and numerical attributes.
As a measure for the impurity of a node t, CART uses the Gini Index. In the case of two classes the Gini Index is defined as:


Remark: Entropy has been scaled from (0, 1) to (0, 0.5)!
Most decision tree algorithms partition training data until every node contains objects of a single class, or until further partitioning is impossible because two objects have the same value for each attribute but belong to different classes. If there are no such conflicting objects, the decision tree will correctly classify all training objects.
If tree performance is measured from the number of correctly classified cases it is com-mon to find that the training data gives an over-optimistic guide to future performance,i.e. with new data. A tree should exhibit generalization, i.e. work well with data other than those used to generate it. When the tree grows during training it often shows a decrease in generalization. This is because the deeper nodes are fitting noise in the training data not representative over the entire universe from which the training set was sampled. This is called ‘overfitting’.

Overfitting (II)
The Iearner overfits to correctly classify‚ the noisy data objects
Noisy or dirty data objects

Random Forest (I)
Random forest is an ensemble classifier that consists of many decision trees.
For every tree a subset of the data objects and a subset of features is randomly chosen. Then the tree is constructed usually using the Gini Index.
In the end, a simple majority vote is taken for prediction.

Algorithm :
1. Create n samples from the original data. Frequent sample size is 2/3.
2. For each of the samples, grow a tree, with the following modification: at each node, rather than choosing the best split among all predictors, randomly sample m* of the m predictors and choose the best split from among those variables.
3. Predict by aggregating the predictions of the n trees (majority votes).
Random Forest (II)
Voting-Principle of Random Forest:
To avoid overfitting effects , the size and the depth of the trees can be restricted .

4 Predictive Analytics
4.1 Subject of Predictive Analytics
4.2 The Analytics Process
4.3 Data Preparation
4.4 Methods, Algorithms and Applications
4.4.1 Classification
4.4.1.1 K-Nearest Neighbors
4.4.1.2 Evaluating the Quality of Classification
4.4.1.3 Decision Tree Approaches
4.4.1.4 Logistic Regression
4.4.1.5 Neural Networks
4.4.1.6 Resampling
4.4.1.7 Ensemble Learning
4.4.2 Regression
Introductory Example


websites (features)
1=visited
0=not visited
ad (target)
1=clicked
0=not clicked
Giant sparse matrix!
One matrix for every ad!
Why not classical linear regression?
It is possible to implement a linear regression on such a dataset where Y={0,1}.
Problems:
The predicted values of the linear model can be greater than 1 or less than 0
e is not normally distributed because Y takes on only two values
The error terms are heteroscedastic (the error variance is not constant for all values of X)
Source: Bichler (2015): Course Business Analytics, TU München
Logistic regression (I)
Logistic regression is a regression model where the dependent variable is categorical. The classical logistic regression is a binary classifier, where the dependent variable has two states. The output of a logistic regression model ranges between 0 and 1.
Logistic regression uses the logistic function (or Sigmoid function) because it can take an input with any value from negative to positive infinity, whereas the output always takes values between zero and one and hence is interpretable as a probability.
It is defined as:

Logistic regression (II)
If we set
the logistic function can now be written as:
We interpret F(x) as the conditional probability that the class attribute has the value 1 with the given input vector x.
The coefficients ß0 and ß can be estimated via Maximum Likelihood Estimation.
The parameter ß0 represents the unconditional probability of “Y=1” knowing nothing about the feature vector x.
The parameter vector β defines the slope of the logit function. It determines the extent to which certain features contribute for increased or decreased likelihood to “Y=1”.
The output of a logistic model is a probability. To use this for classification purposes:
If the predicted probability is > 0.5 the label is 1
and otherwise 0.
4 Predictive Analytics
4.1 Subject of Predictive Analytics
4.2 The Analytics Process
4.3 Data Preparation
4.4 Methods, Algorithms and Applications
4.4.1 Classification
4.4.1.1 K-Nearest Neighbors
4.4.1.2 Evaluating the Quality of Classification
4.4.1.3 Decision Tree Approaches
4.4.1.4 Logistic Regression
4.4.1.5 Neural Networks
4.4.1.6 Resampling
4.4.1.7 Ensemble Learning
4.4.2 Regression
Functionality of Human Neurons


A Look into the Nervous System
Design of a Neuron
An Easy Example (I)
f(x) = Activation function
e.g.
where t = Stimulus threshold
An Easy Example (II)
f(x) = Activation function
e.g.
where t = Stimulus threshold
Functionality of a Neuron

For the case of n inputs, we can rewrite the neuron’s function to
with b = -t. b is known as the perceptron’s bias. The result of this function would then be fed into an activation function to produce a labeling

This results in a linear classifier. Finally, we have to pick a line that best separates the labeled data. The training of the perceptron consists of feeding it multiple training samples and calculating the output for each of them. After each sample, the weights w are adjusted in such a way so as to minimize the output error, defined for example as accuracy or MSE.
Source: http://www.toptal.com/machine-learning/an-introduction-to-deep-learning-from-perceptrons-to-deep-networks
The Multilayer Perceptron
The single perceptron approach has a major drawback: it can only learn linear functions. To address this problem, we’ll need to use a multilayer perceptron, also known as feedforward neural network. Here, we add layers between the input and the output layer, so-called hidden layers . The hidden layer is where the network stores it’s internal abstract representation of the training data.
Input Neurons : receive signals from the outer world .
Hidden Neurons : have an internal representation of the outer world .
Output Neurons : pass signals to the outer world .
Types of Activation Functions
A linear composition of linear functions is still just a linear function, so most neural networks use non-linear activation functions:
tangens __ __ hyperbolicus
logistic function (sigmoid)
Design of a Multilayer Perceptron
Adjusting the Weights (I)
The error of a training set i is calculated using the quadratic deviation between the values o ij of the neurons of the output layer and their corresponding true values t ij .
The sum of the errors of all h training objects is the total error value E:

Adjusting the Weights (II)
The function E has to be minimized. Because it depends on the output neurons o j , it automatically depends on their weights to the precedent layer(s) :
Thus, the weights have to be found where E is minimal.
Examples of Error functions with two weights:


Adjusting the Weights (III)
To minimize the error (cost) function E the backpropagation algorithm uses the method of gradient descent . This method searches those weights, where the vector containing the partial first derivatives of the error function (gradient) is equal to the zero vector (minimum):
To adjust the weight w ij , which connects neurons i to j, the formula is:
where a represents a predefined learning rate , which defines the step length of each iteration in the negative gradient direction and x i denote the output value of neuron i .
The adjusted weight is then computed via

Principle of Gradient Descent (I)
Gradient descent is used to find the minimum of the error function . It works iterative. In an 1-dimensional world, we define the error by
The error function is at minimum if the error is equal to zero.
The prediction is the result of a combination of input and weight
The weight as the dynamic component is now adjusted until the error is at minimum. Starting with an initial weight, gradient descent jumps step by step into the minimum by adjusting the weight. The adjustment is done by calculating the direction and the amount for a step via
Now, the weight is adjusted via
After repeating this several times, the minimum is reached.
Principle of Gradient Descent (II)
The formula
represents the derivative of the error to the weight.
A derivative is a term that is calculated as the slope (or gradient) of a graph at a particular point. The slope is described by drawing a tangent line to the graph at the point. So, if we are able to compute this tangent line, we might be able to compute the desired direction to reach the minima.
Since the weight only indirectly affects the error, the chain rule must be applied
Principle of Gradient Descent (III)
Gradient Descent isn’t perfect. When the gradients are too big we might overshoot so much that we’re even farther away than we started
This problem is destructive because overshooting this far means we land at an even steeper slope in the opposite direction. This causes us to overshoot again even farther.
If the gradients are too big, we can make them smaller. We do this by multiplying them by a single number between 0 and 1 (such as 0.01). This fraction is typically named alpha.
Thus, the adjustment of the weights is done by
Source: https://iamtrask.github.io/2015/07/27/python-network-part2/
Backpropagation Step by Step (I)
In the following, the backpropagation process will be demonstrated using a simple Neural Network consisting of three layers: Input layer with two inputs neurons, one hidden layer with two neurons, and output layer with a single neuron:
Our initial weights will be: w 1 = 0.11, w 2 = 0.21, w 3 = 0.12, w 4 = 0.08, w 5 = 0.14 and w 6 = 0.15.


Source: http://hmkcode.github.io/ai/backpropagation-step-by-step
Backpropagation Step by Step (II)
Our dataset has one sample with two inputs and one output with the values inputs=[2, 3] and output=[ 1 ]. We will use given weights and inputs to predict the output. Inputs are multiplied by weights; the results are then passed forward to next layer:
For reasons of simplification, no activation function is used in the neurons.

Source: http://hmkcode.github.io/ai/backpropagation-step-by-step
Backpropagation Step by Step (III)
The network output, or prediction, is not even close to actual output. We can calculate the difference or the error as following:
Our main goal of the training is to reduce the error or the difference between prediction and actual output. Since actual output is constant, “not changing”, the only way to reduce the error is to change prediction value. The question now is, how to change prediction value?

Source: http://hmkcode.github.io/ai/backpropagation-step-by-step
Backpropagation Step by Step (IV)
By decomposing prediction into its basic elements we can find that weights are the variable elements affecting prediction value. To change prediction value, we need to adjust the weights:
We do this using Backpropagation. To find a local minimum of a function using gradient descent, one takes steps proportional to the negative of the gradient of the function at the current point:
For example, we update w 6 :


We can picture gradient descent optimization as a hiker (the weight coefficient) who wants to climb down a mountain (cost function) into a valley (cost minimum), and each step is determined by the steepness of the slope (gradient) and the leg length of the hiker (learning rate).

Source: http://hmkcode.github.io/ai/backpropagation-step-by-step
Backpropagation Step by Step (V)
The derivation of the error function is evaluated by applying the chain rule:
To update w 6 we can apply the following formula:
Similarly, we can derive the update formula for w5 and any other weights existing between the output and the hidden layer:


Source: http://hmkcode.github.io/ai/backpropagation-step-by-step
Backpropagation Step by Step (VI)
When moving backward to update w 1 , w 2 , w 3 and w 4 existing between input and hidden layer, the partial derivative for the error function with respect to w 1 , for example, will be as following:
We can find the update formula for the remaining weights w 2 , w 3 and w 4 in the same way.
Source: http://hmkcode.github.io/ai/backpropagation-step-by-step
Backpropagation Step by Step (VII)
In summary, the update formulas for all weights will be:
We can rewrite the update formulas in matrices:


Source: http://hmkcode.github.io/ai/backpropagation-step-by-step
Backpropagation Step by Step (VIII)
With the derived formulas we can now adjust the weights:

Source: http://hmkcode.github.io/ai/backpropagation-step-by-step
Backpropagation Step by Step (IX)
... and use the new weights to recalculate the example:
The new prediction 0.26 is bit closer to the output than the previously predicted one 0.191. We repeat now the same process until error is close or equal to zero.

Source: http://hmkcode.github.io/ai/backpropagation-step-by-step
4 Predictive Analytics
4.1 Subject of Predictive Analytics
4.2 The Analytics Process
4.3 Data Preparation
4.4 Methods, Algorithms and Applications
4.4.1 Classification
4.4.1.1 K-Nearest Neighbors
4.4.1.2 Evaluating the Quality of Classification
4.4.1.3 Decision Tree Approaches
4.4.1.4 Logistic Regression
4.4.1.5 Neural Networks
4.4.1.6 Resampling
4.4.1.7 Ensemble Learning
4.4.2 Regression
Problems with fixed Training and Test Samples
Method 1 optimize
Test data is used for two things:
Optimize the model training
Select the best model via testing the model quality
Method 2 optimize
Method 3 optimize
This contradicts the idea of independent testing and results in:
Endogenization of the test data
Selection Bias
… optimize
Rule : NEVER use any information from the test data for model training !
Addressing the Endogeneity Problem




Predictive _ Model_
Validation Sample

Cross Validation

Cross Validation and Grid Search
Calculate the mean quality of the validation folds, e.g. mean accurracy or mean F1
Cross Validation and Grid Search in Python
Using the original libraries and functions
KNeighborsClassifier()
cross_val_score()
DecisionTreeClassifier()
RandomForestCl … ()
Variants of Hyperparameter Optimization
Other Variants of Cross Validation

Cross Validation in Time Series

4 Predictive Analytics
4.1 Subject of Predictive Analytics
4.2 The Analytics Process
4.3 Data Preparation
4.4 Methods, Algorithms and Applications
4.4.1 Classification
4.4.1.1 K-Nearest Neighbors
4.4.1.2 Evaluating the Quality of Classification
4.4.1.3 Decision Tree Approaches
4.4.1.4 Logistic Regression
4.4.1.5 Neural Networks
4.4.1.6 Resampling
4.4.1.7 Ensemble Learning
4.4.2 Regression
Ensemble Methods
Ensemble methods use different models (created via different data sets, feature sets or methods) that are simultaneously applied to the same problem. The results are sent to an aggregating operation that produces the final result.
The most widely used classes of ensemble methods are:
Bagging
Boosting
Stacking
Bagging means to build multiple models from different subsamples of the training dataset and/or with different methods. The results are sent to an (weighted) voting operation that produces the final result.
Source: http://rasbt.github.io/mlxtend/ user_guide /classifier/ EnsembleVoteClassifier /

Boosting involves sequentially building an ensemble by training each new model instance to emphasize the training instances that previous models mispredict . Different variants exist, mostly based on tree methods. In general, any method can be used. This involves the usage of different methods at the different iterations when building the sequence of models.
Source: https://blog.bigml.com/2017/03/14/introduction-to-boosted-trees/

Stacking means to build multiple models (typically of differing types) and a supervisor model that learns how to best combine the predictions of the primary models. The inputs of the supervisor model (meta-classifier) are the outputs of the other models:
Source: http://rasbt.github.io/mlxtend/ user_guide /classifier/ StackingClassifier /

Types of Ensembles
Type 1:
consists of only a few models
each is a strong model
like few professional experts
risk of diverging opinions
risk of experts being biased to their experiences
Type 2:
consists of many models
each is a weak model as a principle
based on the idea of the wisdom of the masses
Random Forest and Gradient Boosted Trees are examples

4 Predictive Analytics
4.1 Subject of Predictive Analytics
4.2 The Analytics Process
4.3 Data Preparation
4.4 Methods, Algorithms and Applications
4.4.1 Classification
4.4.2 Regression
4.4.2.1 OLS
4.4.2.2 Ridge Regression
4.4.2.3 Support Vector Regression
4.4.2.4 Neural Networks
4.4.2.5 Decision Trees
4.4.2.6 K-Nearest Neighbors
Predicting using Regression Methods

Example: Predicting House Prices
Function: Price = f(SquareFootage, Bedrooms, Age, SchoolRating)
Source: http://www.sclgsummit.org/uploads/presentation/8934b2d0be055a2261f5d0320f5b59bb.pdf
4 Predictive Analytics
4.1 Subject of Predictive Analytics
4.2 The Analytics Process
4.3 Data Preparation
4.4 Methods, Algorithms and Applications
4.4.1 Classification
4.4.2 Regression
4.4.2.1 OLS
4.4.2.2 Ridge Regression
4.4.2.3 Support Vector Regression
4.4.2.4 Neural Networks
4.4.2.5 Decision Trees
4.4.2.6 K-Nearest Neighbors
Traditional OLS Regression Approach

Function:
Price = ß0 + ß1 * SquareFootage+ ß2 * Bedrooms + ß3 * Age + ß4 * SchoolRating
Source: http://www.sclgsummit.org/uploads/presentation/8934b2d0be055a2261f5d0320f5b59bb.pdf
Ordinary Least Squares Regression
Measuring the Quality of Fit (I)
Measuring the quality of fit means to measure how well the predictions of a model match the observed data.
A commonly-used measure is the Mean Absolute Error (MAE) which can be calculated for the training and the test set
A variant is the Mean Absolute Percentage Error (MAPE) which expresses the error in percent
While MAE and MAPE are easily interpretable, using the absolute value of the error often is not as desirable as squaring this difference. Depending on how you want your model to treat outliers, or extreme values, in your data, you may want to bring more attention to these outliers or downplay them.
Consequently, the most used measure in regression is the Mean Squared Error (MSE) or its variant the Root Mean Squared Error (RMSE), which is the square root of the MSE.
Measuring the Quality of Fit (II)
4 Predictive Analytics
4.1 Subject of Predictive Analytics
4.2 The Analytics Process
4.3 Data Preparation
4.4 Methods, Algorithms and Applications
4.4.1 Classification
4.4.2 Regression
4.4.2.1 OLS
4.4.2.2 Ridge Regression
4.4.2.3 Support Vector Regression
4.4.2.4 Neural Networks
4.4.2.5 Decision Trees
4.4.2.6 K-Nearest Neighbors
Ridge Regression
Complexity can be measured as the size of the set of possible outputs for a given set of inputs.
In this example the interval 0 to x * represents the set of possible inputs. Function h 0 has the lowest complexity because there is just one output independent of the inputs. h 2 has the highest complexity because here the set of possible outputs is the biggest one.
Complexity und Generalisation
Mean Squared Error
Different Complexities
𝜆 → ∞ : Lowest Complexity
the ridge regression coefficients are equal to zero. For every input, the result is β0.
𝜆 = 0 : Relative High Complexity (linear Model)
the penalty term has no effect, and ridge regression will produce the least squares estimates.
Example:

Source:
James et al. (2013): An Introduction to Statistical Learning with R Applications, p. 215f.
Handling High-Dimensionality (I)
OLS is not suitable for high-dimensional data. Especially when the number of features p is as large as, or larger than, the number of observations, OLS cannot be applied. _ _ Regardless of whether or not there truly is a relationship between the features and the response, OLS will yield a set of coefficient estimates that result in a perfect fit to the data, such that the residuals are zero.
The figure shows two cases. When there are 20 observations, n > p and the OLS line does not perfectly fit the data. When there are only two observations, then regardless of the values of those observations, the regression line will fit the data exactly. This is problematic because this perfect fit will almost certainly lead to overfitting of the data.

Source:
James et al. (2013): An Introduction to Statistical Learning with R Applications, p. 239f.
Handling High-Dimensionality (II)
The figure illustrates the risk of applying OLS when the number of features p is large. The model R2 increases to 1 as the number of features increases, and the training set MSE decreases to 0. At the same time, the MSE on a test set becomes extremely large as the number of features increases.
In contrast, methods like ridge regression are particularly useful for performing regression in the high-dimensional setting. Essentially, these approaches avoid overfitting by using a less flexible fitting approach than least squares.

Source: James et al. (2013): An Introduction to Statistical Learning with R Applications, p. 240f.
4 Predictive Analytics
4.1 Subject of Predictive Analytics
4.2 The Analytics Process
4.3 Data Preparation
4.4 Methods, Algorithms and Applications
4.4.1 Classification
4.4.2 Regression
4.4.2.1 OLS
4.4.2.2 Ridge Regression
4.4.2.3 Support Vector Regression
4.4.2.4 Neural Networks
4.4.2.5 Decision Trees
4.4.2.6 K-Nearest Neighbors
Support Vector Regression
The Goal is to find a robust model with a high generalization ability.
SVR regards two sources of Robustness:
1. Eliminating Noise
2. Handling Complexity
Insensitive Loss Function (I)
-insensitive Loss

does not penalize acceptable deviations (defined by )
Insensitive Loss Function (II)
Using the e-insensitive loss function, only those data objects are considered in the estimation, which have a distance greater than e from the regression function:


e-insen-sitiveRegion
Every object inside the e-insensitive region is ignored. It is regarded as noise.
Support Vector Regression (I)



Decision criterion:
Choose the line with the smallest sum of error slopes with paying attention to the flatness of the regression line!
Estimating the SVR (Linear Case)
Nonlinearity (I)
The linear case :
The nonlinear __ __ case :
Nonlinearity (II)
Kernel Functions (I)
Kernel Functions are used to project n-dimensional input to m-dimensional input, where m is higher than n:
Any point x in the original space is mapped into the higher dimensional space. For reason of efficiency, the mapping is not performed in real but instead embedded in the model building process via the kernel function:
Instead of ß 0 + ß · x = y the following is used ß 0 + ß · F (x) = y
The main idea to use a kernel is: A linear regression curve in higher dimensions becomes a non-linear regression curve in lower dimensions.
Estimating the SVR (Nonlinear Case)
Kernel Functions (II)
A frequently used kernel function is the Polynomial Kernel Function:
where x and z are vector points in any fixed dimensional space and n is the order of the kernel.
In the case of order equal to 2, we get:
Source: https://journals.plos.org/ploscompbiol/article?id=10.1371/journal.pcbi.1000173
Kernel Functions (III)
A nother frequently __ __ used __ __ kernel __ __ function __ __ is __ __ the __ Radial Basis __ Function __ (__ RBF):
It maps the data according a Gaussian function where Sigma ( s ) is a streching factor.
Different Sigmas
= Euclidean distance between x and z
Source: https://journals.plos.org/ploscompbiol/article?id=10.1371/journal.pcbi.1000173
4 Predictive Analytics
4.1 Subject of Predictive Analytics
4.2 The Analytics Process
4.3 Data Preparation
4.4 Methods, Algorithms and Applications
4.4.1 Classification
4.4.2 Regression
4.4.2.1 OLS
4.4.2.2 Ridge Regression
4.4.2.3 Support Vector Regression
4.4.2.4 Neural Networks
4.4.2.5 Decision Trees
4.4.2.6 K-Nearest Neighbors
Using Neural Network for Regression
Artificial neural networks are often used for classification because of the relationship to logistic regression. Neural networks typically use a logistic activation function and output values from 0 to 1 like logistic regression.
But the continuous output of a net must not be interpreted as a probability, so neural networks can be used too for regression, to model complex and non-linear relationships.
The Singlelayer Perceptron corresponds to a linear regression while a Multilayer Perceptron is able to approximate nearly any function regard-less of the complexity and nonlinearity.
Because of the high complexity of the MLP, the models are usually very sensitive and have a tendency to overfitting.
There exist regularization methods, which make the networks better at generalizing beyond the training data.(see http://neuralnetworksanddeeplearning.com/chap3.html)
Neural Network (Multilayer Perceptron)

Source: http://www.sclgsummit.org/uploads/presentation/8934b2d0be055a2261f5d0320f5b59bb.pdf

Source: http://www.sclgsummit.org/uploads/presentation/8934b2d0be055a2261f5d0320f5b59bb.pdf
4 Predictive Analytics
4.1 Subject of Predictive Analytics
4.2 The Analytics Process
4.3 Data Preparation
4.4 Methods, Algorithms and Applications
4.4.1 Classification
4.4.2 Regression
4.4.2.1 OLS
4.4.2.2 Ridge Regression
4.4.2.3 Support Vector Regression
4.4.2.4 Neural Networks
4.4.2.5 Decision Trees
4.4.2.6 K-Nearest Neighbors
Introductory Example
Decision Tree for Predicting Fuel Consumption of Cars(in Miles-per-Gallon )
Regression Trees
Some of the tree approaches can be used for regression too. They can be used for nonlinear multiple regression. The output must be numerical.
The figure shows a regression tree for predicting the salary of a baseball player, based on the number of years that he has played in the major leagues and the number of hits that he made in the previous year.
The predicted salary is given by the mean value of the salaries in the corresponding leaf, e.g. for the players in the data set with Years<4.5, the mean (log-scaled) salary is 5.11, and so we make a prediction of e5.11 thousands of dollars, i.e. $165,670, for these players.
Players with Years>=4.5 are assigned to the right branch, and then that group is further subdivided by Hits. The predicted salaries for the resulting two groups are 1,000*e6.00 =$403,428 and 1,000*e6.74 =$845,346.

Source: James et al. (2013): An Introduction to Statistical Learning with R Applications, p. 304f.
Constructing a Regression Tree (I)

Source: James et al. (2013): An Introduction to Statistical Learning with R Applications, p. 305f.
Constructing a Regression Tree (II)
Random Forests for Regression
Due to the usage of means as predictors a regression tree usually simplifies the true relationship between the inputs and the output. The advantage over traditional statistical methods is, that it can give valuable insights about which variables are important and where. But the prediction ability is poor compared to other regression approaches.
A much better prediction quality can be achieved with the creation of an ensemble of trees, use them for prediction and averaging their results. This is done, when applying the Random Forests approach to a regression task.
Regression Forests are an ensemble of different regression trees and are used for nonlinear multiple regression. The principle is the same as in classification, except that the output is not the result of a voting but instead of an averaging process.
The disadvantage of Random Forests is that the analysis, which aggregates over the results of many bootstrap trees, does not produce a single, easily interpretable tree diagram.
Comparing the Fitting Ability of one vs. many Regression Trees
Single Regression Tree
Average of 100 Regression Trees


Limitations of Tree Methods in Regression
When applied to regression problems, tree methods have the limitation that they cannot exceed the range of values of the target variable used in training. The reason for this lies in their design principle, how the leaves of the trees are created.
Thus, Random Forests may perform poorly when the target data is out of the range of the original training data, e.g. in the case of data with persistent trends. A solution may be a frequent re-training in this case.
An important strength of Random Forests is that they are able to perform still well in the case of missing data. According to their construction principle, not every tree is using the same features.
If there is any missing value for a feature during the application there usually are enough trees remaining that do not use this feature to produce accurate predictions.
4 Predictive Analytics
4.1 Subject of Predictive Analytics
4.2 The Analytics Process
4.3 Data Preparation
4.4 Methods, Algorithms and Applications
4.4.1 Classification
4.4.2 Regression
4.4.2.1 OLS
4.4.2.2 Ridge Regression
4.4.2.3 Support Vector Regression
4.4.2.4 Neural Networks
4.4.2.5 Decision Trees
4.4.2.6 K-Nearest Neighbors
k-Nearest Neighbors for Regression
k-Nearest Neighbors cannot only be used for classification but also for regression. The only difference in regression is that the prediction is not the result of a majority vote but of an averaging process.
A simple implementation of KNN regression is to calculate the average of the numerical target of the k-nearest neighbors. Another approach uses an inverse distance weighted average of the K-nearest neighbors. KNN regression uses the same distance functions as KNN classification.
Example:
4 Predictive Analytics
4.1 Subject of Predictive Analytics
4.2 The Analytics Process
4.3 Data Preparation
4.4 Methods, Algorithms and Applications
4.4.1 Classification
4.4.2 Regression
4.4.3 Segmentation
4.4.3.1 K-Means
4.4.2.2 Hierarchical Cluster Analysis
Introductory Example
Assume you are a wholesale distributor and each row of your dataset corresponds to a customer showing the following attributes:
1) FRESH: annual spending on fresh products (Continuous); 2) MILK: annual spending on milk products (Continuous); 3) GROCERY: annual spending on grocery products (Continuous); 4) FROZEN: annual spending on frozen products (Continuous) 5) DETERGENTS_PAPER: annual spending on detergents and paper products (Continuous) 6) DELICATESSEN: annual spending on delicatessen products (Continuous); 7) CHANNEL: customers buying channel (Nominal) 8) REGION: customers region (Nominal)
Your goal is to segment the users. That means finding similar types of users and bunching them together.
Why would you want to do this?
You might want to give different users different experiences. Marketing often does this; for example, to offer toner to people who are known to own printers.
You might have a model that works better for specific groups. Or you might have different models for different groups.
Cluster Analysis
Cluster analysis is a type of multivariate statistical analysis. It is used to group data into separate clusters. The main objective of clustering is to find similarities between data objects, and then group similar objects together to assist in understanding relationships that might exist among them. Cluster analysis is based on a mathematical formulation of a measure of similarity.
There are different types of cluster analysis methods:
Clustering Methods
4 Predictive Analytics
4.1 Subject of Predictive Analytics
4.2 The Analytics Process
4.3 Data Preparation
4.4 Methods, Algorithms and Applications
4.4.1 Classification
4.4.2 Regression
4.4.3 Segmentation
4.4.3.1 K-Means
4.4.2.2 Hierarchical Cluster Analysis
Partitioning Cluster Methods
The partitioning cluster methods divide the data into a predetermined number of clusters. The most popular technique is the K-Means algorithm.
Given a set of observations ( x 1, x 2,…, x n ), where each observation is a m -dimensional real vector, k -means clustering aims to partition the n observations into ( k ≤ n ) segments S ={ S 1, S 2,..., S k } so as to minimize the within-cluster sum of squares (WCSS).
The objective is to find
where _ _ is the mean of points in S i .
Procedure of K-Means:
Step 1: Randomly partition the data objects into k clusters.
Step 2: Calculate the cluster centroids.
Step 3: Calculate the distance from every data point to all centroids
Step 4: If a data point is closest to its own centroid, leave it where it __ __ is. If the data point is not closest to its own centroid, assign __ __ it to the cluster with the closest centroid.
Step 5: Repeat the step 2 to 4 until a complete pass through of all __ __ the data points results in no data point changing from one __ cluster to another.__
Example of a K-Means Cluster Analysis

Between cluster variance:
Within cluster variance:
Finding the Optimal Number of Clusters (I)
The aim of the cluster analysis is the segmentation of objects into clusters, which are preferably homogeneous in it selves and heterogeneous to each other. The less variance exists within the clusters and the more variance exists between the clusters, the better is the number of clusters.
Total variance:
Accumulated variance within the k clusters:
This results in the variance between the clusters:
with n = number of objects
__ m = number of attributes__
__ __ n k __ = number of objects in cluster k__
__ __ c k __ = cluster k__
Finding the Optimal Number of Clusters (II)
If you put V in __ on the ordinate and the number of cluster k on the abscissa, it often results in a curve with one or several kinks. At the point where exists the (first) significant kink, you can find the optimal number of clusters:__
Total variance V tot
Between __ __ cluster variance V betw
Within cluster variance V in
Number of clusters
Finding the Optimal Number of Clusters (III)
Instead of visually identifying the optimal cluster number, we can calculate the distances from the points on the elbow curve to a straight line linking the first and the last point on the curve. The cluster number with the largest distance is then chosen as the one with the strongest kink.
Number of clusters
4 Predictive Analytics
4.1 Subject of Predictive Analytics
4.2 The Analytics Process
4.3 Data Preparation
4.4 Methods, Algorithms and Applications
4.4.1 Classification
4.4.2 Regression
4.4.3 Segmentation
4.4.3.1 K-Means
4.4.2.2 Hierarchical Cluster Analysis
Hierarchical Cluster Methods
Process of the Hierarchical Cluster Analysis
Measuring Similarity between Clusters (I)

Distance between two clusters is the distance between the closest points:
Complete Linkage:

Distance between two clusters is the distance between the farthest pair of points:

Distance between two clusters i and j is the distance between their cendroids :
Measuring Similarity between Clusters (II)
Average Linkage:
Distance between clusters is the average distance between the cluster points:

Ward’s Method / Minimum Variance Method (only Agglomerative):

Ward’s minimum variance criterion minimizes the total within-cluster variance. At each step the pair of clusters is merged that leads to minimum increase in total within-cluster variance after merging. This can be calculated as the square of the distance between cluster means divided by the sum of the reciprocals of the number of observations in each cluster:
For a comparison of the methods see: Ferreira, L.; Hitchcock, D. B. (2009): A Comparison of Hierarchical Methods for Clustering Functional Data, http://people.stat.sc.edu/Hitchcock/compare_hier_fda.pdf
Single Linkage Example (I)

Source: Fred, Ana: Unsupervised Learning, Universidade Técnica de Lisboa
Single Linkage Example (II)

Source: Fred, Ana: Unsupervised Learning, Universidade Técnica de Lisboa
A dendrogram is a tree diagram frequently used to illustrate the arrangement of the clusters produced by hierarchical clustering. The y-axis represents the value of this distance metric (e.g. euclidean distance) between the clusters.
In a dendrogram the widths of the horizontal lines give an impression about the dissimilarity of the merging object. Thus, a good cluster number might be at a point from where the width of the following horizontal lines is significantly smaller in length. The red line in the graph below shows such a point:
Counting the points that cut this line might be a good answer for the number of clusters the data can have. It is the number 6 in this case.
